Antibiotic Exposure Drives Gut Microbiome Changes & Impacts Cardiometabolic Health

0 comments

Large-Scale Studies Detail Gut Microbiome Research Protocols

Several large-scale Swedish studies – SCAPIS, SIMPLER and MOS – have contributed to research on the gut microbiome by collecting fecal samples from a substantial number of participants. These studies employed similar methodologies, instructing participants to collect fecal samples at home and bring them to test centers.

SCAPIS (Swedish CArdioPulmonary bioImage Study) enrolled 30,154 individuals aged 50–65 between 2013 and 2018. Participants provided fecal samples, along with lifestyle, diet, and health history questionnaires. Data on participant sex were obtained from the Swedish population register, and blood samples and anthropometric measurements were as well collected. A total of 9,159 fecal samples were delivered by the second visit, with additional samples arriving shortly after.

SIMPLER combines data from the Swedish Mammography Cohort and the Cohort of Swedish Men, including 2,843 women and 3,046 men who provided fecal samples between 2012 and 2018. Participants completed questionnaires regarding smoking, physical activity, and diet, and provided anthropometric measurements.

MOS included 2,223 participants enrolled until April 2017, with 1,573 samples delivered by the second visit. Similar to the other studies, participants provided fecal samples at home and completed questionnaires on lifestyle, diet, health history, and comorbidities.

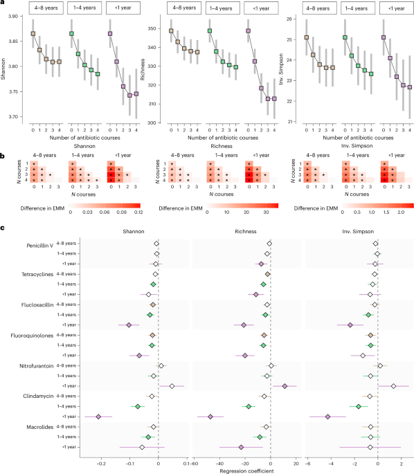
Exclusion Criteria: Participants were excluded from the studies based on several criteria, including a test center visit before July 1, 2013, antibiotic prescriptions within specific timeframes, diagnoses of chronic pulmonary disease or inflammatory bowel disease, and lack of consent for data linkage. Specific criteria also targeted long-term antibiotic use for conditions like urinary tract infections and rosacea.

Antibiotic Exposure: Information on dispensed oral antibiotics was retrieved from the National Patient Register (NPDR) using Anatomical Therapeutic Chemical (ATC) codes. Antibiotics were categorized into groups including tetracyclines, penicillins, cephalosporins, macrolides, and fluoroquinolones.

Related Posts

Leave a Comment